Honda Malaysia Price List 2018

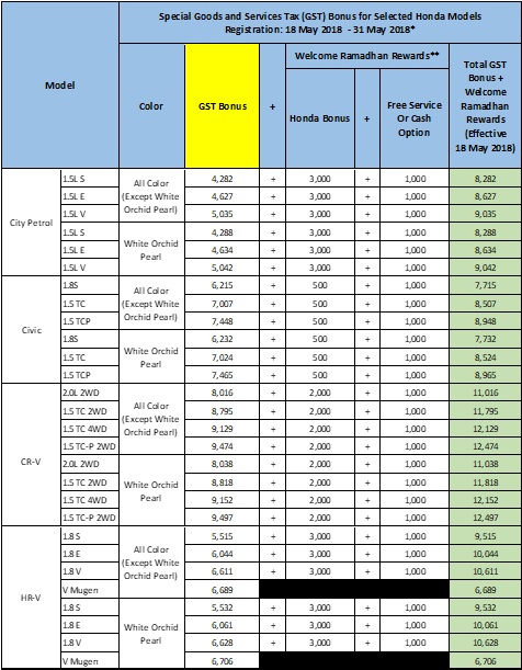
Honda malaysia reveals sst prices.
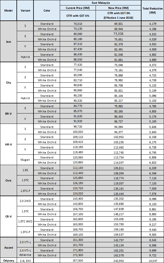
Honda malaysia price list 2018. Check out our complete 2020 honda price list of new car models variants and prices in malaysia for all car brands. Honda malaysia hm has released its full price list with zero rated gst which will be effective from june 1. Before this we only knew the 0 gst prices for four models city non hybrid. Get a complete price list of all honda cars including latest upcoming models of 2020.
Search 81 honda nsx cars for sale in malaysia. Honda scooter malaysia price list 2020. Read car reviews and compare prices and features at carlist my. Browse the latest honda models book test drives compare vehicles more.
You are now easier to find information about honda mpv suv sedan and hatchback cars with this information including latest honda price list in malaysia full specifications review and comparison with other competitors cars. Honda malaysia today announced the new pricing of its models following the recent announcement by the government of malaysia on the sales and service tax sst implementation effective 1 st september 2018. 2018 honda jazz honda jazz 1 5 e facelift keyless p start warranty. Check out expert reviews images specs videos and set an alert for upcoming honda car launches at zigwheels.
Search 81 honda nsx cars for sale in malaysia. You are now easier to find information about honda motorcycle and scooter with this information including latest honda bike price list in malaysia full specifications review and comparison with other competitors bikes. Honda car price in malaysia and full specs. Honda scooter prices start at rm 30 999 for the most inexpensive model forza and goes up to rm 63 299 for the most expensive scooter model x adv there are 7 honda scooters available in malaysia check out all scooter models december 2020 price below.
Logon to honda malaysia today. Honda motorcycle price in malaysia and full specs. 2020 latest honda new cars price list in malaysia carlist my trending searches. Welcome to honda malaysia.
Search 2 347 honda cars for sale by dealers and direct owner in malaysia.